Altillo.com > Exámenes > UBA - CBC > Álgebra
|
Álgebra |
1° Parcial |
1° Cuat. de 2007 | Altillo.com |

Respuestas :
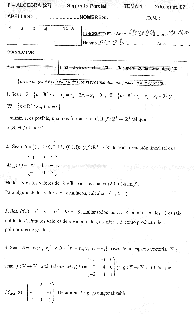
1) f(1,1,0,-1)= (1,0,-2,0)
f(0,0,1,2)=(0,1,0,0)
f(1,0,0,1)=(0,0,0,1)
f(0,0,2,-1)= (0,0,0,0)
2) k=2
f(1,2,-1)=(3,2,6)
3) P(x)= (x+1)(x+1)(x-2)(x-2i)(x+2i)
4) Es diagonalizable